Opis proizvoda
Silikonsko lisnato mastilo se široko koristi u funkcionalnoj štampi zbog svoje visoke elastičnosti i sposobnosti stvaranja trodimenzionalnih tekstura-termičkom ekspanzijom. Među parametrima procesa, debljina sloja mastila je kritičan faktor koji određuje konačni 3D efekat. Debljina ne samo da utječe na visinu ekspanzije, već i direktno utječe na strukturu mikromjehurića, raspodjelu naprezanja i stabilnost površinskih detalja.
Utjecaj debljine na prijenos topline i ekspanziju
Tokom očvršćavanja, silikonsko lisnato mastilo formira mikroćelijsku strukturu pene kroz ekspanziju gasa. Debljina sloja mastila utiče na ponašanje ekspanzije na nekoliko načina:
- Tanki slojevi: Toplina se brzo prenosi kroz sloj, ograničavajući rast mjehurića i rezultirajući manjom 3D visinom, ali visokom ujednačenošću.
- Slojevi umjerene debljine: dovoljno prostora omogućava da se mjehurići u potpunosti prošire, stvarajući jasnu i ujednačenu trodimenzionalnu strukturu-.
- Previše debeli slojevi: Prodiranje topline je odloženo, što dovodi do neravnomjernog širenja, potencijalnog lokaliziranog kolapsa ili međusobno povezanih mjehurića, stvarajući nepravilnu 3D površinu.
- Debljina takođe utiče na brzinu reakcije u procesu umrežavanja. Debeli slojevi zahtijevaju optimiziranu temperaturu i vrijeme očvršćavanja kako bi se osiguralo potpuno umrežavanje i stabilnost mikrostrukture.
Debljina i stabilnost 3D strukture
Debljina sloja mastila utiče i na gustinu mreže mikromehurića i na makroskopski 3D efekat:
- Gustina i elastičnost mjehurića: Umjerena debljina stvara gustu i ujednačenu mrežu mjehurića, nudeći idealnu elastičnost i taktilni kvalitet. Tanki slojevi nemaju dovoljno formiranja mjehurića, smanjujući 3D efekat; previše debeli slojevi mogu formirati neravne mjehuriće, ugrožavajući stabilnost površine.
- Raspodjela naprezanja: Širenje debelih slojeva stvara unutrašnje gradijente naprezanja, s lokaliziranim koncentracijama naprezanja koje potencijalno mogu uzrokovati kolaps ili pucanje površine.
- Tačnost detalja: Debeli slojevi mogu uzrokovati širenje rubova ili zamućene linije u finim uzorcima ili gradijentima, dok tanki slojevi održavaju oštrinu rubova, ali ograničavaju 3D visinu.
Ključni procesni parametri za kontrolu debljine
Precizna kontrola debljine ovisi o nekoliko varijabli procesa:
- Parametri broja mreža i brisača: Direktno kontrolirajte nanošenje tinte i ujednačenost sloja.
- Pritisak i ugao brisača: Utječe na nivelaciju boje i konzistenciju debljine.
- Uslovi okoline: Temperatura i vlažnost utiču na viskozitet mastila i ponašanje pri širenju, indirektno utičući na debljinu i strukturu pene.
- Strategija nanošenja slojeva: Više slojeva može povećati 3D visinu uz očuvanje detalja, ali međuslojnom adheziju i unutrašnjim stresom treba upravljati.
Odnos debljine – širenja – naprezanja
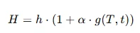
3D visina HHH može se aproksimirati kao funkcija debljine sloja mastila hhh i koeficijenta ekspanzije:
![]()
gdje g(T,t)g(T, t)g(T,t) predstavlja učinak temperature očvršćavanja TTT i vremena ttt na ekspanziju. Ovaj odnos ukazuje da povećanje debljine može povećati 3D visinu, ali također može dovesti do neravnomjernog naprezanja i raspodjele mjehurića.
Zaključak
Debljina sloja mastila je ključni faktor koji određuje trodimenzionalni efekat i mikrostrukturnu stabilnost silikonskog lisnatog mastila. Optimizacijom debljine u kombinaciji sa uslovima očvršćavanja i parametrima procesa, moguće je postići ujednačene, visoko elastične i fino detaljne rezultate 3D štampe. Duboko razumijevanje odnosa debljina-ekspanzija-napon pruža naučnu osnovu za visoko{4}}precizan funkcionalni dizajn procesa štampanja.
